无水无氧产品生产专家    


Chinese version     English version

首页  |  企业简介  |  新闻中心  |  产品展示 客户反馈  |  在线订购  联系我们  

我公司主营LiHMDS,NaHMDS,KHMDS,LDA,环丙甲醛,各种格氏试剂,各种醇类化合物
产品分类
  环系列化合物(3)
  活性碱化合物(5)
  其他化合物(2)
  格氏试剂(43)
  醛类化合物(3)
  醇类化合物(31)
  锌化合物(1)
产品查询

兰州红胜精细化工有限公司
是精细化工产品生产厂家,为化工行业提供无水无氧产品和其他中间体化合物

新闻中心
企业新闻
攻克新产品技术—2,2,6,6-四甲基哌啶基氯化镁氯化锂四氢呋喃溶液
我公司可以为客户定制各类格氏试剂
欢迎各个行业的企业与我公司开展小化工技术项目合作!
我公司革新活性碱检验方法
我公司购进一批新型检测设备用于活性碱产品的生产
更多企业新闻...
行业新闻
兰州新区勇当强省会“领头雁”
2023中国西部(兰州新区)国际精细化工产业博览会8月30日-9月1日
(成都)国际科学仪器及实验室装备展览会2013年4月11-13日
中国国际医药原料药、中间体、包装、设备交易会2013-4-25至2013-04-27
医药行业持续领先创业板
更多行业新闻...
新产品    更多产品...
 
锌化合物
产品名称CAS英文名称
氯化锌溶液7646-85-7Zinc chloride in THF
 
活性碱化合物
产品名称CAS英文名称
双(三甲基硅基)氨基锂4039-32-1Lithium bis(trimethylsilyl)amide
双(三甲基硅基)氨基钠1070-89-9Sodium bis(trimethylsilyl)amide
二异丙基氨基锂4111-54-0Lithium diisopropylamide
双(三甲基硅基)氨基钾40949-94-8Potassium bis(trimethylsilyl)amide
叔丁醇锂1907-33-1Lithium tert-butoxide
 
格氏试剂
产品名称CAS英文名称
苄基氯化镁6921-34-2Benzylmagnesium chloride
苯基溴化镁100-58-3Phenylmagnesium bromide
异丙基氯化镁1068-55-9Isopropylmagnesium chloride
苯基氯化镁100-59-4Phenylmagnesium chloride
正丁基氯化镁693-04-9Butylmagnesium chloride
仲丁基氯化镁15366-08-2sec-Butylmagnesium chloride
叔丁基氯化镁677-22-5tert-butylmagnesium chloride
丙基氯化镁2234-82-4Propylmagnesium chloride
4-氯苯基溴化镁873-77-84-Chlorophenylmagnesium bromide
格氏试剂定制Grignard reagent
部分库存格氏试剂库存some Grignard reagents in stock
乙基溴化镁925-90-6Ethylmagnesium bromide
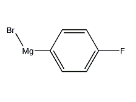
4-氟苯基溴化镁352-13-64-Fluorophenylmagnesium bromide
甲基碘化镁917-64-6Methylmagnesium iodide
环己基氯化镁931-51-1Cyclohexylmagnesium chloride
异丙基溴化镁920-39-8Bromoisopropylmagnesium
环戊基溴化镁33240-34-5Cyclopentylmagnesium bromide
异丙基氯化镁-氯化锂745038-86-2isopropyl MgCl LiCl
正戊基溴化镁693-25-4Bromopentylmagnesium
异丁基溴化镁926-62-5Isobutylmagnesium bromide
2-甲基烯丙基氯化镁5674-01-12-Methylallylmagnesium chloride
邻甲苯基溴化镁932-31-0o-Tolylmagnesium bromide
环己基溴化镁931-50-0Cyclohexylmagnesium Bromide
4-甲氧基苯基溴化镁13139-86-14-Methoxyphenylmagnesium bromide
烯丙基溴化镁1730-25-2Allylmagnesium bromide
烯丙基氯化镁2622-05-1Allylmagnesium chloride
4-(N,N-二甲基)苯胺溴化镁7353-91-54-(N,N-Dimethyl)aniline magnesium bromide
(1,3-二氧戊环-2-基甲基)溴化镁180675-22-3(1,3-Dioxolan-2-ylmethyl)magnesium bromide
仲丁基溴化镁922-66-7sec-Butylmagnesium Bromide
环戊基氯化镁32916-51-1Cyclopentylmagnesium chloride
4-三氟甲基苯基溴化镁402-51-7(4-Trifluoromethylphenyl)magnesium bromide
对甲苯基溴化镁4294-57-9p-Tolylmagnesium Bromide
4-联苯基溴化镁3315-91-14-Biphenylmagnesium bromide solution
2,5-二甲基苯基溴化镁30897-86-0(2,5-Dimethylphenyl)magnesium Bromide
仲丁基氯化镁-氯化锂1032768-06-1sec-Butylmagnesium Chloride - Lithium Chloride
异丙烯基溴化镁13291-18-4Isopropenylmagnesium bromide
环丙基溴化镁23719-80-4Cyclopropylmagnesium bromide
4-(三氟甲氧基)苯基溴化镁169222-42-84-(Trifluoromethoxy)phenylmagnesium bromide
甲基氯化镁676-58-4Methylmagnesium chloride
(三甲基硅基)甲基氯化镁13170-43-9(Trimethylsilyl)methylmagnesium chloride
2,2,6,6-四甲基哌啶基氯化镁氯化锂四氢呋喃溶液898838-07-82,2,6,6-tetramethylpiperidinato)magnesate lithium
4-叔丁基苯基溴化镁63488-10-84-tert-Butylphenylmagnesium bromide
3-丁烯基溴化镁7103-09-53-Butenylmagnesium bromide solution
 
醛类化合物
产品名称CAS英文名称
环丙甲醛1489-69-6Cyclopropanecarboxaldehyde
环丁基甲醛2987-17-9Cyclobutanecarboxaldehyde
环戊基甲醛872-53-7Cyclopentanecarboxaldehyde
 
环系列化合物
产品名称CAS英文名称
环丁酮1191-95-3Cyclobutanone
环丁基溴4399-47-7Bromocyclobutane
环丁醇2919-23-5Cyclobutanol
 
醇类化合物
产品名称CAS英文名称
2,2-二甲基-1-丙醇75-84-32,2-Dimethyl-1-propanol
环戊甲醇3637-61-4Cyclopentanemethanol
环丁烷甲醇4415-82-1Cyclobutanemethanol
醇类化合物alcohol compoundsalcohol compounds
4-氟苄醇459-56-34-Fluorobenzyl alcohol
2-氟苄醇446-51-52-Fluorobenzyl alcohol
3,4-二甲氧基苯乙醇7417-21-23,4-Dimethoxyphenethyl alcohol
4-甲氧基苯乙醇702-23-84-Methoxyphenethyl alcohol
3-溴-4-氟苯甲醇77771-03-03-bromo-4-fluorobenzyl alcohol
4-氯-2-氟苯甲醇56456-49-64-Chloro-2-fluorobenzyl alcohol
4-溴苯丙醇25574-11-24-Bromobenzenepropanol
2-溴苯丙醇52221-92-83-(2-Bromo-phenyl)-propan-1-ol
3-氟苄醇456-47-33-Fluorobenzyl alcohol
3,5-二氯苯甲醇60211-57-63,5-Dichlorobenzyl alcohol
2-氯-6-氟苄醇56456-50-92-Chloro-6-fluorobenzyl alcohol
2,3,4,5-四氟苯甲醇53072-18-72,3,4,5-Tetrafluorobenzyl alcohol
4-氯苯乙醇1875-88-34-Chlorophenethyl alcohol
2,4-二甲基苯甲醇16308-92-22,4-Dimethylbenzyl alcohol
3-甲氧基苯乙醇5020-41-73-Methoxyphenethyl alcohol
1-(2-甲氧基苯基)乙醇7417-18-72-Methoxyphenethyl alcohol
3,4-二甲基苯甲醇6966-10-53,4-Dimethylbenzyl alcohol
2,6-二氯苯乙醇30595-79-02,6-Dichlorophenyl ethanol
2-甲基苯乙醇19819-98-82-Methylphenethyl alcohol
3-溴苯乙醇28229-69-83-Bromophenethyl alcohol
2-溴苯乙醇1074-16-42-Bromophenethyl alcohol
3,5-二溴苯甲醇145691-59-43,5-Dibromobenzyl alcohol
2,4-二溴苯甲醇666747-06-42,4-Dibromobenzyl alcohol
五氟苯甲醇440-60-8Pentafluorobenzyl Alcohol
5-溴-2-氯苯甲醇149965-40-25-Bromo-2-chlorobenzyl alcohol
2,4,6-三甲基苯甲醇4170-90-52,4,6-Trimethylbenzyl alcohol
4-乙基苯甲醇768-59-24-Ethylbenzyl alcohol
 
其他化合物
产品名称CAS英文名称
六甲基二硅氮烷999-97-3Hexamethyldisilazane
定制产品手性custom synthesis

兰州红胜精细化工有限公司 http://www.lzhschemical.com © 版权所有
地 址:甘肃省兰州市兰州新区专精特新化工产业孵化基地C区301室 陇ICP备2023001135号
销 售 部 电 话:0931-6509211 张雅静:15693160393,张代慧:15693160370   
Email:lzhschemical@163.com   销售QQ:3821828244,3829155398; 
友情链接:中国化学化工论坛  Acros  中国化工网  中国科学院  洛克化工网


总访问量230386今天访问量135昨天访问量150上次访问时间:2026-04-22 19:17:04